「平面図形の面積(A),周長(L)および重心位置(G)」からは、以下の計算がご利用いただけます。
平面図形の面積(A),周長(L)および重心位置(G)
技術データ集:掲載項目
掲載ページ
三角形
- P11 -
平行四辺形
- P11 -
台形
- P11 -
四辺形
- P11 -
正n角形
- P11 -
円
- P11 -
扇形
- P11 -
弓形
- P11 -
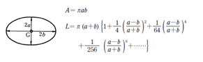
楕円
- P11 -
放物形
- P11 -
エンジニアズブックに関する、皆様からの「ご意見・ご要望」をお待ちしております。
