技術データ集 申込
技術データ集 サンプル
技術データ集 便利機能
技術データ集 検索機能
技術データ集 正誤表
単位換算
公式計算
掲載データ ソート
目次別機能一覧
1. 単位物理量 - P2 -
2. 公式 - P9 -
3. 文字記号・規格 - P22 -
4. 知的財産権 - P27 -
5. 輸出管理 - P35 -
6. 機械 - P50 -
金属元素の物理的性質 - P51 -
円板の最大応力(σmax)と最大たわみ(ωmax) - P96 -
長柱の座屈 - P97 -
各種断面形の軸のねじり - P97 -
梁の公式 - P98 -
(1) - P98 -
(2) - P98 -
(3) - P98 -
(4) - P98 -
(5) - P98 -
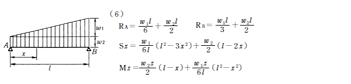
(6) - P98 -
(7) - P98 -
(8) - P98 -
(9) - P98 -
(10) - P98 -
(11) - P98 -
(12) - P98 -
(13) - P98 -
(14) - P99 -
(15) - P99 -
(16) - P99 -
(17) - P99 -
(18) - P99 -
(19) - P99 -
キーの強さ - P102 -
ばねの図表 - P111 -
ばねの一般計算式 - P112 -
伝熱計算の式(表面温度を設計条件とする場合) - P121 -
各種非破壊検査法の適用範囲 - P123 -
7. 医療工学 - P128 -
8. 航空宇宙 - P144 -
9. 電気・情報 - P164 -
10. バイオ・食品 - P214 -
11. 化学・エネルギー - P260 -
12. 有機物 - P322 -
13. 無機物 - P346 -
14. 粉体 - P356 -
15. 建築 - P374 -
16. 土木 - P402 -
17. 物流・搬送 - P412 -
18. 地球環境・安全 - P432 -
19. プロダクトデザイン - P474 -
20. ポンプ概要 - P500 -
21. ヘイシンモーノポンプ - P526 -
サイトマップ
サイト利用規約
個人情報保護方針
兵神装備
モーノポンプ製品サイト
モーノディスペンサー製品サイト
梁の公式
「梁の公式」からは、以下の計算がご利用いただけます。
梁の公式
単位換算
公式計算
データソート
梁の公式
- P98 -
技術データ集:掲載項目
掲載ページ
(1)
- P98 -
(2)
- P98 -
(3)
- P98 -
(4)
- P98 -
(5)
- P98 -
(6)
- P98 -
(7)
- P98 -
(8)
- P98 -
(9)
- P98 -
(10)
- P98 -
(11)
- P98 -
(12)
- P98 -
(13)
- P98 -
(14)
- P99 -
(15)
- P99 -
(16)
- P99 -
(17)
- P99 -
(18)
- P99 -
(19)
- P99 -
エンジニアズブックに関する、皆様からの「ご意見・ご要望」をお待ちしております。